42 akad dalam bank syariah

5 Produk Bank Syariah di Indonesia dan Akad-Akadnya Apr 19, 2021 · Akad jasa keuangan lainnya dalam bank syariah Produk jasa yang ditawarkan bank syariah cukup banyak, seperti penggunaan ATM, internet banking , dan sebagainya untuk memudahkan transaksi perbankan. Dalam konteks produk bank syariah atau produk perbankan syariah, layanan tersebut dapat dikenakan biaya yang dibebankan kepada nasabah. Akad-Akad Dalam Bank Syariah.docx - AKAD-AKAD DALAM BANK ... Akad merupakan suatu kesepakatan bersama antara kedua belah pihak atau lebih baik secara lisan, isyarat, maupun tulisan yang memiliki implikasi hukum yang mengikat untuk melaksanakannya. Sedangkan Wa'ad adalah janji antara satu pihak kepada pihak lainnya, pihak yang diberi janji tidak memikul kewajiban apa-apa terhadap pihak lainnya 1 .

Praktik Akad Wakalah dalam Kehidupan Sehari-hari Akad yang digunakan dalam produk-produk Bank syariah di Indonesia sebagian besar menggunakan akad wakalah, terutama pada pembiayan murabahah dan jasa operasional perbankan. Pembiayaan murabahah adalah kegiatan transaksi jual beli untuk kebutuhan yang secara umum bisa dilakukan dengan pembiayaan murabahah.

Akad dalam bank syariah

Akad dalam bank syariah

Penjelasan Musyarakah Mutanaqishah dalam Perbankan Syariah ... Dijelaskan dalam Buku Ajar Fiqih Muamalah Kontemporer, implementasi akad musyarakah mutanaqishah dalam operasional perbankan syariah terlihat dari kerja sama antara bank syariah dengan nasabah untuk pengadaan atau pembelian suatu barang dimana aset barang tersebut jadi milik bersama. Mengenal Akad Jual Beli di Bank Syariah - Ajaib Mengenal Akad Jual Beli di Bank Syariah. Andhika. . July 2, 2021July 2, 2021. Ajaib.co.id - Akad jual beli di bank syariah ada cukup banyak. Tentunya, akad ini sebisa mungkin mengikuti hukum jual beli dalam Islam. Bagi kamu yang ingin mengenal lebih dalam akad jual beli di bank syariah, simak ulasan redaksi Ajaib berikut ini. Perbankan syariah - Wikipedia bahasa Indonesia, ensiklopedia ... Al-Hawalah adalah akad perpindahan di mana dalam praktiknya memindahkan hutang dari tanggungan orang yang berhutang menjadi tanggungan orang yang berkewajiban membayar hutang (contoh: lembaga pengambilalihan hutang). Ar-Rahn, adalah suatu akad pada transaksi perbankan syariah, yang merupakan akad gadai yang sesuai dengan syariah.

Akad dalam bank syariah. Pengertian Wadiah, Salah Satu Akad dalam Perbankan Syariah Pengertian Wadiah, Salah Satu Akad dalam Perbankan Syariah. Ketika masyarakat ingin membuka rekening di bank pasti akan ditanyakan ingin menggunakan akad wadiah adalah atau mudharabah. Perbedaan akad mudharabah dan akad wadiah adalah akad wadiah murni titipan sedangkan akad mudharabah bentuk kerjasama bank dan nasabah dengan pembagian hasil. Jenis - Jenis Akad di Bank Syariah - SyariahBank.com Seperti yang kita ketahui pada istilah perbankan syariah Akad merupakan kesepakatan, perjanjian , atau ikatan antara nasabah dengan pihak bank dimana terdapat sighat (Ijab Qabul), yang sesuai dengan syariah yang berlaku dan berpengaruh pada objek yang akan diikat. Mengenal Macam Macam Akad Syariah di Berbagai Transaksi Akad syariah adalah istilah yang digunakan untuk menyebut jenis perjanjian atau kesepakatan dalam transaksi syariah. Selama ini, banyak orang mengira jenis akad syariah hanya terbatas pada mudharabah dan murabahah saja. Padahal macam macam akad syariah lebih banyak dari itu. Menurut Otoritas Jasa Keuangan (OJK), jenis akad syariah ada 9. Jenis Akad Dalam Perbankan Konvensional dan Syariah ... Dalam bank konvensional dikenal sebagai perjanjian, dan di bank syariah dikenal dengan akad. Seperti yang kita ketahui pada istilah perbankan syariah Akad merupakan kesepakatan, perjanjian, atau ikatan antara nasabah dengan pihak bank dimana terdapat sighat (Ijab Qabul), yang sesuai dengan syariah yang berlaku dan berpengaruh pada objek yang ...

Mengenal Beberapa Akad pada Bank Syariah Adapun akad yang sering digunakan oleh bank Syariah dalam membantu pembiayaan bagi nasabahnya diantaranya sebagai berikut : Murabahah Akad jual beli ini secara tegas menyebutkan harga jual dan keuntungan yang disepakati oleh pihak penjual dan pembeli. Selain itu, jumlah dan jenis produk juga diperjelas secara mendetail. Tentang Syariah Bank Pembiayaan Syariah adalah Bank Syariah yang dalam kegiatannya tidak memberikan jasa dalam lalu lintas pembayaran.Kegiatan usaha Bank Pembiayaan Rakyat Syariah meliputi: a) menghimpun dana dari masyarakat dalam bentuk: Simpanan berupa Tabungan atau yang dipersamakan dengan itu berdasarkan Akad wadi'ah atau Akad lain yang tidak bertentangan ... Pelatihan Audit Hukum Atas Akad Perbankan Syariah Tahun ... Oleh karenanya, kontrak-kontrak syariah (akad) dalam perbankan syariah harus dilakukan legal audit agar tidak saja sesuai dengan prinsip syariah tetapi juga aman menurut hukum positif. Pelatihan Audit Hukum Atas Akad Perbankan Syariah Tahun 2022 ini menjadi sangat penting untuk diikuti agar lembaga keuangan syariah seperti bank syariah dapat ... Jenis-Jenis Akad Pada Bank Syariah. Pengertian Penjelasan ... Pengertian Akad. Akad adalah kesepakatan tertulis antara Bank Syariah atau UUS dan pihak lain yang memuat adanya hak dan kewajiban bagi masing-masing pihak sesuai dengan Prinsip Syariah. Akad Mudharabah Menghimpun Dana.

Bank Mega Syariah - Wikipedia bahasa Indonesia, ensiklopedia ... Pada tanggal 7 November 2007, melakukan perubahan bentuk logo BSMI ke bentuk logo bank umum konvensional yang menjadi sister company-nya, yakni PT Bank Mega, Tbk, tetapi berbeda warna. Sejak 2 November 2010 sampai dengan sekarang, bank ini berganti nama menjadi PT Bank Mega Syariah. Syariah Dalam Peraturan Bapepam dan LK Nomor IX.A.13 tentang Penerbitan Efek Syariah disebutkan bahwa Efek Syariah adalah Efek sebagaimana dimaksud dalam UUPM dan peraturan pelaksanaannya yang akad, cara, dan kegiatan usaha yang menjadi landasan pelaksanaannya tidak bertentangan dengan prinsip - prinsip syariah di Pasar Modal. Akad Istishna dalam Ekonomi Islam : Pengertian, Dalil, Rukun ... Aug 17, 2019 · Dalam akad salam barangnya mesti sudah ada contohnya sedangkan dalam akad istishna barangnya masih berbentuk gambaran atau belum ada wujudnya. Baca Juga: Akad Ijarah dalam Ekonomi Islam. Skema Akad Istishna (Studi Kasus Menggunakan Bank Syariah) Apa Itu Qardh Dalam Perbankan Syariah? Berikut Definisinya IDXChannel - Qardh dalam perbankan syariah merupakan akad pinjaman dari bank (Muqridh) kepada pihak tertentu (Muqtaridh) yang wajib dikembalikan dengan jumlah yang sama sesuai pinjaman. Muqridh dapat meminta jaminan atas pinjaman kepada Muqtaridh. Pengembalian pinjaman dapat dilakukan secara angsuran ataupun sekaligus.

Perbedaan Bank Syariah dan Bank Konvensional | BPRS DINAR ASHRI

Perbedaan Bank Syariah dan Bank Konvensional | BPRS DINAR ASHRI

Mengenal Akad Perbankan syariah - Bank Muamalat MUDHARABAH MUQAYYADAH Akad yang dilakukan antara pemilik modal untuk usaha yang ditentukan oleh pemilik modal (shahibul mal) dengan pengelola (mudharib), dimana nisbah bagi hasil disepakati di awal untuk dibagi bersama, sedangkan kerugian ditanggung oleh pemilik modal. Dalam terminologi perbankan syariah ini lazim disebut Special Investment.

Implementasi Akad Salam pada Bank Syariah: Menjawab ...

Implementasi Akad Salam pada Bank Syariah: Menjawab ...

Istilah Perbankan Syariah - Edukasi Syariah Akad ini juga diterapkan pada usaha/proyek yang sebagiannya dibiayai oleh lembaga keuangan sedangkan selebihnya dibiayai oleh nasabah. Akad Murabahah. Disebut ...

transaksi dan akad dalam bank syariah

transaksi dan akad dalam bank syariah

Akad Musyarakah: Pengertian, Skema, Rukun dan Contohnya Pembiayaan KPR Bank Syariah Pembiayaan KPR merupakan salah satu contoh akad musyarakah dalam perbankan syariah. Unsur musyarakah dalam kerjasama ini adalah penggabungan modal milik bank dan nasabah untuk membeli rumah dari developer. Adapun nisbahnya diterima oleh bank dari sewa yang dibayarkan nasabah tiap bulannya.

Mengenal Praktik Akad Wadiah dalam Perbankan Syariah - iqra.id

Mengenal Praktik Akad Wadiah dalam Perbankan Syariah - iqra.id

Pengertian Wadiah, Salah Satu Akad dalam Perbankan Syariah ... KOMPAS.com - Dalam ekonomi syariah khususnya perbankan syariah, istilah wadiah kerap terdengar. Pasalnya, wadiah adalah salah satu jenis istilah dalam muamalah Islam. Menitipkan sesuatu di bank konvensional kerap menjadi masalah bagi umat Islam karena umumnya bank konvensional menerapkan sistem bunga yang tidak sesuai dengan syariat Islam.

Analisis implementasi akad istishna' dalam perbankan syariah ...

Analisis implementasi akad istishna' dalam perbankan syariah ...

Ekonomi Syariah | Mengenal Jenis-jenis Akad 1 Jenis-jenis Akad dalam Ekonomi Syariah 1.1 1. Murabahah 1.2 2. Salam 1.3 3. Istishna' 1.4 4. Mudharabah 1.5 5.Musyarakah 1.6 6. Musyarakah Mutanaqisah 1.7 7. Wadi'ah 1.8 8. Wakalah 1.9 7. Ijarah 1.10 8. Ju'alah 1.11 9. Kafalah 1.12 10. Hawalah 1.13 11. Rahn 1.14 12. Qardh 2 Akad di ALAMI Menggunakan Wakalah bil Ujrah

Perbandingan Akad Bagi Hasil Pada Akad Pembiayaan Musyarakah ...

Perbandingan Akad Bagi Hasil Pada Akad Pembiayaan Musyarakah ...

Akad-akad dalam transaksi Bank Syariah - SahamOK Akad adalah ikatan atau kesepakatan antara nasabah dengan bank yakni pertalian ijab (pernyataan melakukan ikatan) dan kabul (pernyataan penerimaan ikatan) sesuai dengan kehendak syariat yang berpengaruh pada obyek perikatan, misalnya akad pembukaan rekening simpanan atau akad pembiayaan. Berikut akad-akad dalam transaksi Bank Syariah.

Akad Giro Bank Syariah Ditinjau dari Aturan Fiqih | NU Online

Akad Giro Bank Syariah Ditinjau dari Aturan Fiqih | NU Online

Macam-Macam Akad Perbankan Syariah yang Perlu Kamu Tahu ... Bank syariah biasa menerapkan akad ini dalam pembuatan Letter of Credit, penerusan permintaan, atau pembelian barang dari luar negeri (L/C Import) Ijarah Akad Ijarah mengatur mengenai persewaan barang yang mengikat pihak yang berakad. Biasanya, akad ini dilakukan jika barang yang disewa memberikan manfaat.

Tawarkan Ambang Batas Ideal Untuk Jaga Kesehatan Perbankan ...

Tawarkan Ambang Batas Ideal Untuk Jaga Kesehatan Perbankan ...

Akad-Akad Perbankan Syariah - Retizen 28 Nov 2021 — Ini dikenal sebagai Investasi Khusus dalam bahasa perbankan syariah. MUSYARAKAH. Kontrak antara dua atau lebih pemilik modal untuk ...

Hak-Hak Mitra Pembiayaan Murabahah di Bank Syariah | Islamic ...

Hak-Hak Mitra Pembiayaan Murabahah di Bank Syariah | Islamic ...

PDF Akad Bank Syariah - repository.uinjkt.ac.id Nurul Ichsan.: Akad Bank Syariah Asy-Syir'ah Jurnal Ilmu Syari'ah dan Hukum Vol. 50, No.2, Desember 2016 404 4) Bila salah satu atau kedua pihak yang terikat dalam kontrak itu tidak dapat memenuhi kewajibannya, maka ia/mereka menerima sanksi seperti yang sudah disepakati dalam akad. Akad dalam Operasional Perbankan Syariah

Akad Dan Aspek Legalitas | PDF

Akad Dan Aspek Legalitas | PDF

Bank Syariah: Kegiatan, Prinsip Kerja, Akad, Modal Mudharabah adalah akad kerjasama suatu usaha antara pihak pertama (malik, shahibul mal, atau bank syariah) yang menyediakan seluruh modal dan pihak kedua ('amil, mudharib, atau nasabah) yang bertindak selaku pengelola dana dengan kesepakatan yang dituangkan dalam akad, sedangkan kerugian ditanggung sepenuhnya oleh Bank Syariah kecuali jika ...

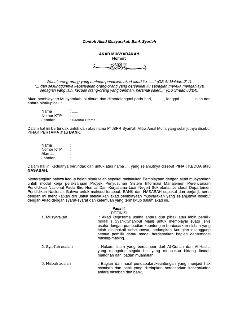
Contoh Akad Musyarakah Bank Syariah | PDF

Contoh Akad Musyarakah Bank Syariah | PDF

PDF Akad Dan Produk Perbankan Syariah A. Akad Bank Syariah Dalam bank syariah akad yang dilakukan memiliki konsekuensi duniawi dan ukhrawi karena akad yang dilakukan berdasarkan hukum Islam. Sering kali nasabah berani melanggar kesepakatan atau perjanjian yang telah dialkukan apabila hukum itu hanya berdasarkan hukum positif belaka, tapi tidak demikian bila perjanjian tersebut ...

Bagi Hasil dalam Bank Syariah (Musyarakah dan Mudharabah)

Bagi Hasil dalam Bank Syariah (Musyarakah dan Mudharabah)

Macam-Macam Akad dalam Transaksi Syariah, Perlu Diketahui 15 Nov 2021 — Masing-masing jenis akad yang dilakukan dalam transaksi syariah ini pun mempunyai tujuan dan karakteristik tersendiri. Macam-macam akad ini ...

Letter of Credit Research Papers - Academia.edu

Letter of Credit Research Papers - Academia.edu

Macam Jenis Akad Tabungan di Bank syariah - SyariahBank.com Akad ini merupakan Akad Kerjasama antar pihak pertama (Malik, Shahibulmal, atau Nasabah) sebagai pemilik dana dengan pihak kedua ('amil, mudharib, atau Bank Syariah) yang berperan sebagai pengelola dana dengan membagikan keuntungan usaha sesuai dengan kesepakatan yang dituangkan dalam Akad. Ada dua jenis akad mudharabah di perbankan syariah, yaitu

SISTEM OPERASIONAL BANK SYARIAH. - ppt download

SISTEM OPERASIONAL BANK SYARIAH. - ppt download

Akad-akad Dalam Transaksi Perbankan Syariah - Otoritas ... Akad-akad Dalam Transaksi Perbankan Syariah ... Akad penitipan batang atau uang antara pihak yang mempunyai barang atau uang dan pihak yang diberi kepercayaan ...

Akad-akad Dalam Perbankan Syariah (Akad Tabarru') | sahaza777

Akad-akad Dalam Perbankan Syariah (Akad Tabarru') | sahaza777

Mengenal Berbagai Macam Jenis Akad Bank Syariah Akad bank syariah sendiri merupakan kesepakatan tertulis pihak bank syariah dengan pihak lain yang memuat hak serta kewajiban untuk masing-masing pihak sesuai prinsip syariah. Akad bank syariah terdiri dari berbagai macam jenis, untuk itu kami akan bagikan informasi mengenai jenis akad yang ada di bank syariah tersebut.

Jenis Akad Dalam Perbankan Konvensional dan Syariah ...

Jenis Akad Dalam Perbankan Konvensional dan Syariah ...

(DOC) Makalah Konsep Akad Bank Syariah | Dery Ariswanto ... Pelaksanaan akad musyarakah dalam perbankan syariah adalah : 11) Pembiayaan Proyek, dimana nasabah dan bank sama- sama menyediakan dana untuk membiayai suatu proyek.

Bagi Hasil Bank Syariah di Akad Mudharabah atau Musyarakah

Bagi Hasil Bank Syariah di Akad Mudharabah atau Musyarakah

AKAD PELENGKAP DAN PRODUK JASA BANK SYARIAH ... - DuniaKuMu Tujuan akad rahn adalah untuk memberikan jaminan pembayaran kembali kepada bank dalam memberikan pembiayaan. Barang yang digadaikan wajib memenuhi kriteria : Milik nasabah sendiri. Jelas ukuran, sifat, dan nilainya ditentukan berdasarkan nilai riil pasar. Dapat dikuasai namun tidak boleh dimanfaatkan oleh bank.

Page 50 - MODUL AKAD, TATA KELOLA DAN ETIKA SYARIAH

Page 50 - MODUL AKAD, TATA KELOLA DAN ETIKA SYARIAH

Akad Simpanan Bank Syariah : Wadi'ah atau Qardh Akad Wadi'ah yang berarti titipan dalam fiqih dan di implementasikan ke dalam dunia perbankan syariah berupa penitipan barang maupun uang yang artinya akad wadi'ah dipakai untuk tabungan para nasabah. Sedangkan akad Wadi'ah itu tidak diperkenankan untuk dipakai maupun digunakan oleh orang yang dititipkan tersebut.

PDF) ANALISIS PENGARUH KOMITMEN AKAD TERHADAP PENGEMBALIAN ...

PDF) ANALISIS PENGARUH KOMITMEN AKAD TERHADAP PENGEMBALIAN ...

Tentang Syariah Akad kerjasama suatu usaha antara pihak pertama (malik, shahibul mal, atau bank syariah) yang menyediakan seluruh modal dan pihak kedua ('amil, mudharib, atau nasabah) yang bertindak selaku pengelola dana dengan kesepakatan yang dituangkan dalam akad, sedangkan kerugian ditanggung sepenuhnya oleh Bank Syariah kecuali jika pihak kedua melakukan ...

Jual Buku Produk Dan Akad Perbankan Syariah Di Indonesia oleh ...

Jual Buku Produk Dan Akad Perbankan Syariah Di Indonesia oleh ...

Akad Mudharabah : Pengertian, Dalil, Contoh, Praktik Kontemporer Apr 09, 2019 · Lembaga Keuangan Syariah non Bank, dalam hal ini kamu bisa memilih untuk investasi di asuransi syariah, BPRS, BMT dan sebagainya yang umumnya juga menggunakan akad mudharabah. Financial Technology , ada beberapa fintech yang menawarkan produk investasi dengan akad mudharabah .

Yuk, Mengenal Akad-Akad Transaksi Syariah .:: SIKAPI ::.

Yuk, Mengenal Akad-Akad Transaksi Syariah .:: SIKAPI ::.

Mengenal Jenis Akad dalam Transaksi Perbankan Syariah 1 Aug 2021 — Mengenal Jenis Akad dalam Transaksi Perbankan Syariah · 1. Wadiah · 2. Mudharabah · 3. Musyarakah · 4. Murabahah · 5. Salam · 6. Istishna'.

Pengertian Wadiah, Salah Satu Akad dalam Perbankan Syariah ...

Pengertian Wadiah, Salah Satu Akad dalam Perbankan Syariah ...

Perbankan syariah - Wikipedia bahasa Indonesia, ensiklopedia ... Al-Hawalah adalah akad perpindahan di mana dalam praktiknya memindahkan hutang dari tanggungan orang yang berhutang menjadi tanggungan orang yang berkewajiban membayar hutang (contoh: lembaga pengambilalihan hutang). Ar-Rahn, adalah suatu akad pada transaksi perbankan syariah, yang merupakan akad gadai yang sesuai dengan syariah.

Akad-Akad di Bank Syariah

Akad-Akad di Bank Syariah

Mengenal Akad Jual Beli di Bank Syariah - Ajaib Mengenal Akad Jual Beli di Bank Syariah. Andhika. . July 2, 2021July 2, 2021. Ajaib.co.id - Akad jual beli di bank syariah ada cukup banyak. Tentunya, akad ini sebisa mungkin mengikuti hukum jual beli dalam Islam. Bagi kamu yang ingin mengenal lebih dalam akad jual beli di bank syariah, simak ulasan redaksi Ajaib berikut ini.

PENERAPAN AKAD IJARAH DALAM PRODUK PEMBIAYAAN BANK SYARIAH ...

PENERAPAN AKAD IJARAH DALAM PRODUK PEMBIAYAAN BANK SYARIAH ...

Penjelasan Musyarakah Mutanaqishah dalam Perbankan Syariah ... Dijelaskan dalam Buku Ajar Fiqih Muamalah Kontemporer, implementasi akad musyarakah mutanaqishah dalam operasional perbankan syariah terlihat dari kerja sama antara bank syariah dengan nasabah untuk pengadaan atau pembelian suatu barang dimana aset barang tersebut jadi milik bersama.

Penerapan Prinsip Syariah Pada Akad Musyarakah Mutanaqishah ...

Penerapan Prinsip Syariah Pada Akad Musyarakah Mutanaqishah ...

FAKTOR-FAKTOR YANG MEMPENGARUHI MINAT NASABAH DALAM MEMILIH ...

FAKTOR-FAKTOR YANG MEMPENGARUHI MINAT NASABAH DALAM MEMILIH ...

Akad-Akad dalam Perbankkan Syariah - Administrasi Bisnis

Akad-Akad dalam Perbankkan Syariah - Administrasi Bisnis

Buku akad pembiayaan murabahah di bank syariah dalam bentuk akta otentik

Buku akad pembiayaan murabahah di bank syariah dalam bentuk akta otentik

Buku Akad dan Produk Bank Syariah , Ascarya

Buku Akad dan Produk Bank Syariah , Ascarya

Jelaskan Akad Yang Dipakai Pada Produk Funding Bank Syariah ...

Jelaskan Akad Yang Dipakai Pada Produk Funding Bank Syariah ...

Penerapan Akad Wadiah di Perbankan Syariah | Madani Syari'ah

Penerapan Akad Wadiah di Perbankan Syariah | Madani Syari'ah

Pengertian Wadiah, Salah Satu Akad dalam Perbankan Syariah ...

Pengertian Wadiah, Salah Satu Akad dalam Perbankan Syariah ...

IMPLEMENTASI AKAD IJARAH MULTIJASA SEKTOR PENDIDIKAN: STUDI ...

IMPLEMENTASI AKAD IJARAH MULTIJASA SEKTOR PENDIDIKAN: STUDI ...

PERBANKAN SYARIAH Bahan Ajar S2 FH UI oleh: YUNUS HUSEIN ...

PERBANKAN SYARIAH Bahan Ajar S2 FH UI oleh: YUNUS HUSEIN ...

Kelompok 3 AKAD-AKAD DALAM BANK SYARIAH & - ppt download

Kelompok 3 AKAD-AKAD DALAM BANK SYARIAH & - ppt download

BAB 5 AKAD-AKAD DALAM BANK SYARIAH

BAB 5 AKAD-AKAD DALAM BANK SYARIAH

Cases related Banking Financial Reporting problems | Download ...

Cases related Banking Financial Reporting problems | Download ...

Page 55 - MODUL AKAD, TATA KELOLA DAN ETIKA SYARIAH

Page 55 - MODUL AKAD, TATA KELOLA DAN ETIKA SYARIAH

Efektivitas Penyusunan dan Implementasi Standarisasi Akad ...

Efektivitas Penyusunan dan Implementasi Standarisasi Akad ...

Akad Dalam Bank Syariah - Content

Akad Dalam Bank Syariah - Content

transaksi dan akad dalam bank syariah

transaksi dan akad dalam bank syariah

AKAD PEMBIAYAAN MURABAHAH DI BANK SYARIAH DALAM BENTUK AKTA OTENTIK  IMPLEMENTASI RUKUN, SYARAT

AKAD PEMBIAYAAN MURABAHAH DI BANK SYARIAH DALAM BENTUK AKTA OTENTIK IMPLEMENTASI RUKUN, SYARAT

0 Response to "42 akad dalam bank syariah"

Post a Comment

Iklan Atas Artikel

Iklan Tengah Artikel 1

Iklan Tengah Artikel 2

Iklan Bawah Artikel